Официальное опубликование правовых актов
ОФИЦИАЛЬНОЕ ОПУБЛИКОВАНИЕ
Постановление Правительства Липецкой области от 25.09.2025 № 473
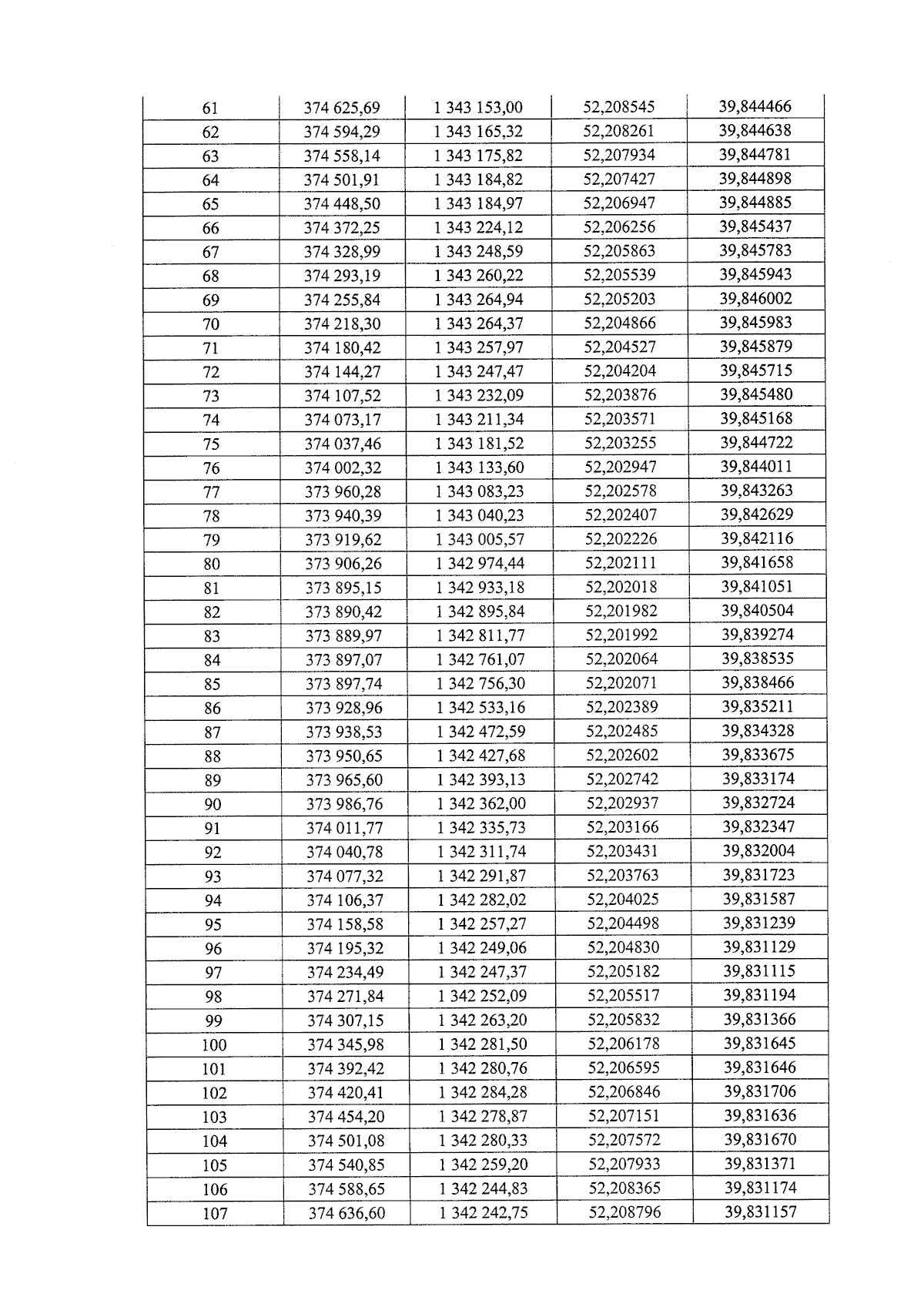
"Об установлении местоположения береговой линии (границы водного объекта), границы водоохранных зон и границы прибрежных защитных полос рек Усмань, Плавица, Пловутка, водохранилищ на р. Усмань, на р. Усмань у с. Куриловка Усманского района"
Номер опубликования: 4800202509290023
Дата опубликования: 29.09.2025
Страница №875 из 885:
Увеличить