Официальное опубликование правовых актов
ОФИЦИАЛЬНОЕ ОПУБЛИКОВАНИЕ
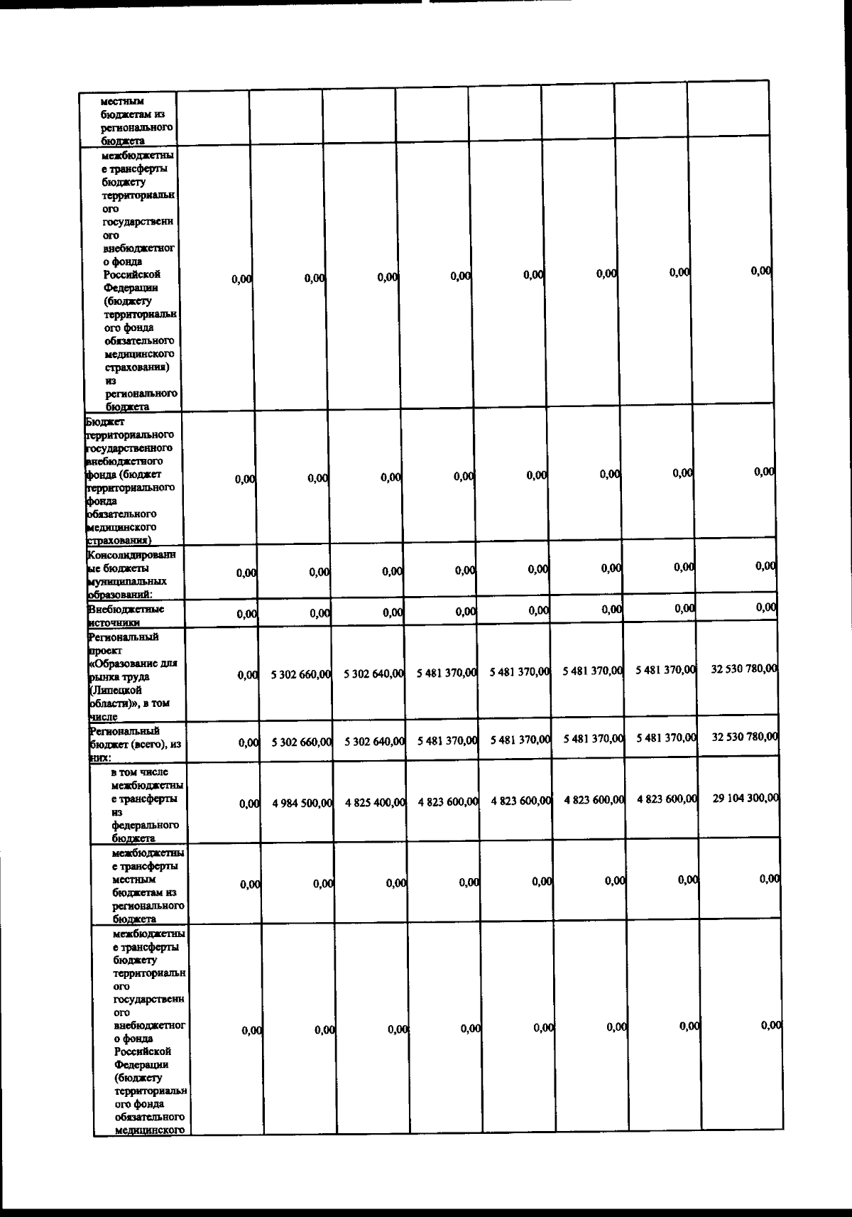
Постановление Правительства Липецкой области от 09.07.2025 № 360
"О внесении изменений в постановление Правительства Липецкой области от 26 декабря 2023 года № 786 "Об утверждении государственной программы Липецкой области "Развитие рынка труда и содействие занятости населения в Липецкой области"
Номер опубликования: 4800202507150007
Дата опубликования: 15.07.2025
Страница №9 из 22: