Официальное опубликование правовых актов
ОФИЦИАЛЬНОЕ ОПУБЛИКОВАНИЕ
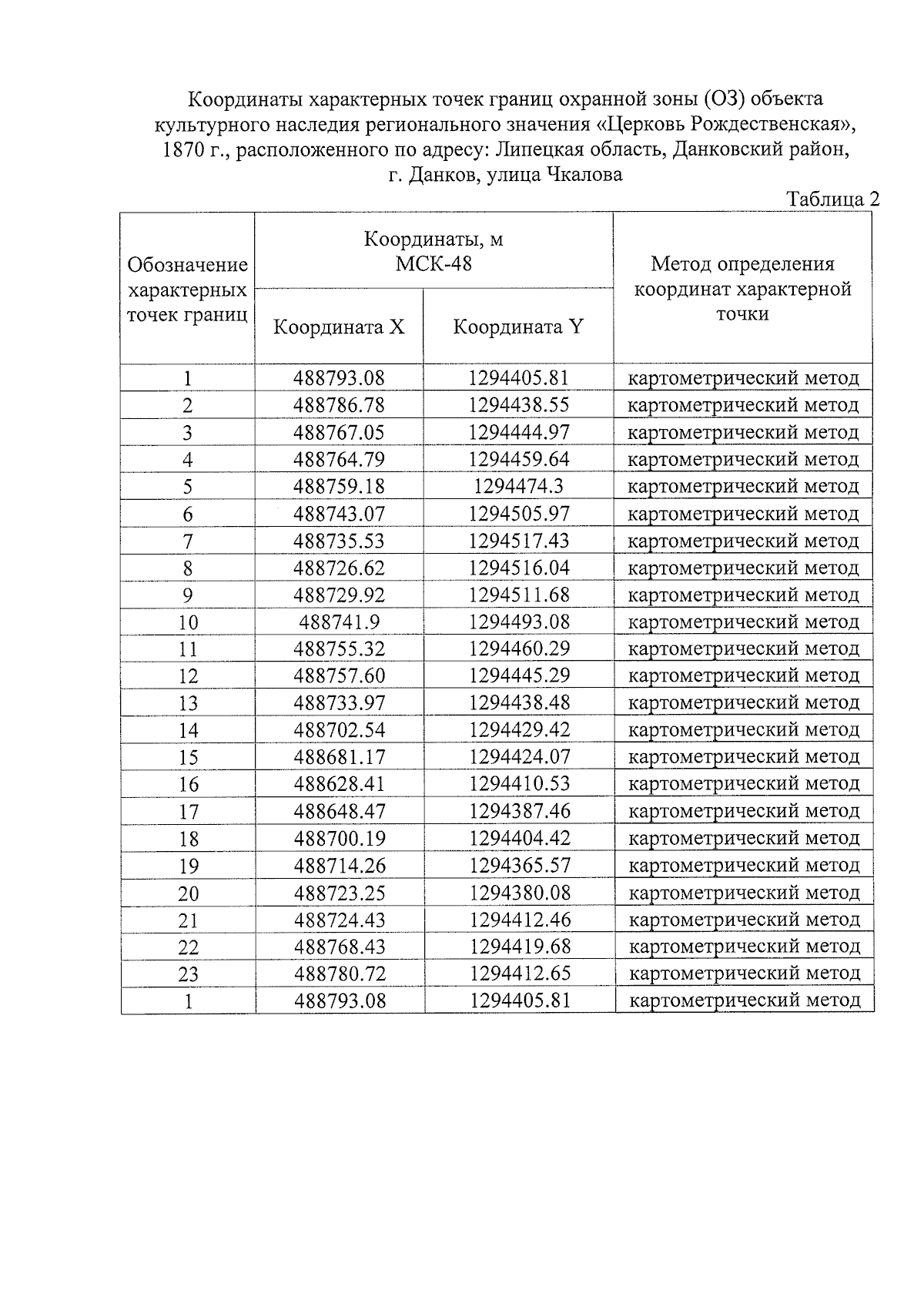
Постановление Правительства Липецкой области от 24.04.2025 № 234
"Об установлении границ зон охраны объекта культурного наследия регионального значения "Церковь Рождественская", 1870 г., расположенного по адресу: Липецкая область, Данковский район, г. Данков, улица Чкалова, и утверждении требований к градостроительным регламентам в границах территорий данных зон"
Номер опубликования: 4800202504280018
Дата опубликования: 28.04.2025
Страница №5 из 14:
Увеличить