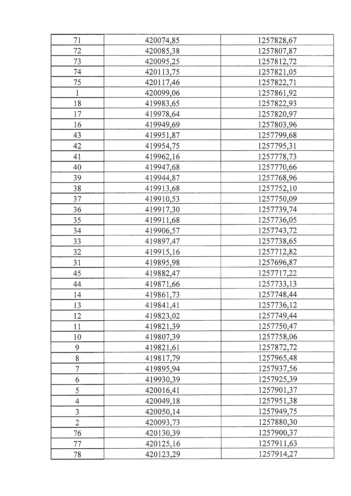
Постановление Правительства Липецкой области от 24.04.2025 № 226
"Об установлении границ зон охраны объекта культурного наследия регионального значения "Церковь Вознесения, 1863—1879 гг.", расположенного по адресу: Липецкая область, г. Елец, улица 2 Восточная, д. 2а, и утверждении требований к градостроительным регламентам в границах территорий данных зон"
"Об установлении границ зон охраны объекта культурного наследия регионального значения "Церковь Вознесения, 1863—1879 гг.", расположенного по адресу: Липецкая область, г. Елец, улица 2 Восточная, д. 2а, и утверждении требований к градостроительным регламентам в границах территорий данных зон"
Номер опубликования: 4800202504280003
Дата опубликования:
28.04.2025
