Официальное опубликование правовых актов
ОФИЦИАЛЬНОЕ ОПУБЛИКОВАНИЕ
Постановление Правительства Липецкой области от 21.04.2025 № 222
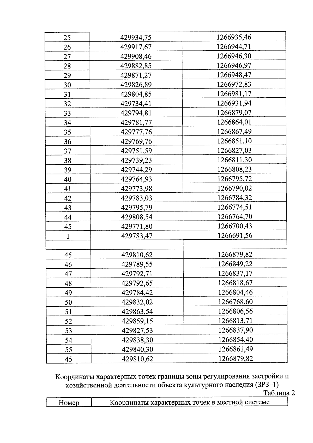
"Об установлении границ зон охраны объекта культурного наследия федерального значения "Церковь Казанская", XVIII в., расположенного по адресу: Липецкая область, Елецкий район, село Талица, ул. Советская, 152 Г, и утверждении требований к градостроительным регламентам в границах территорий данных зон"
Номер опубликования: 4800202504240002
Дата опубликования: 24.04.2025
Страница №7 из 13:
Увеличить