Официальное опубликование правовых актов
ОФИЦИАЛЬНОЕ ОПУБЛИКОВАНИЕ
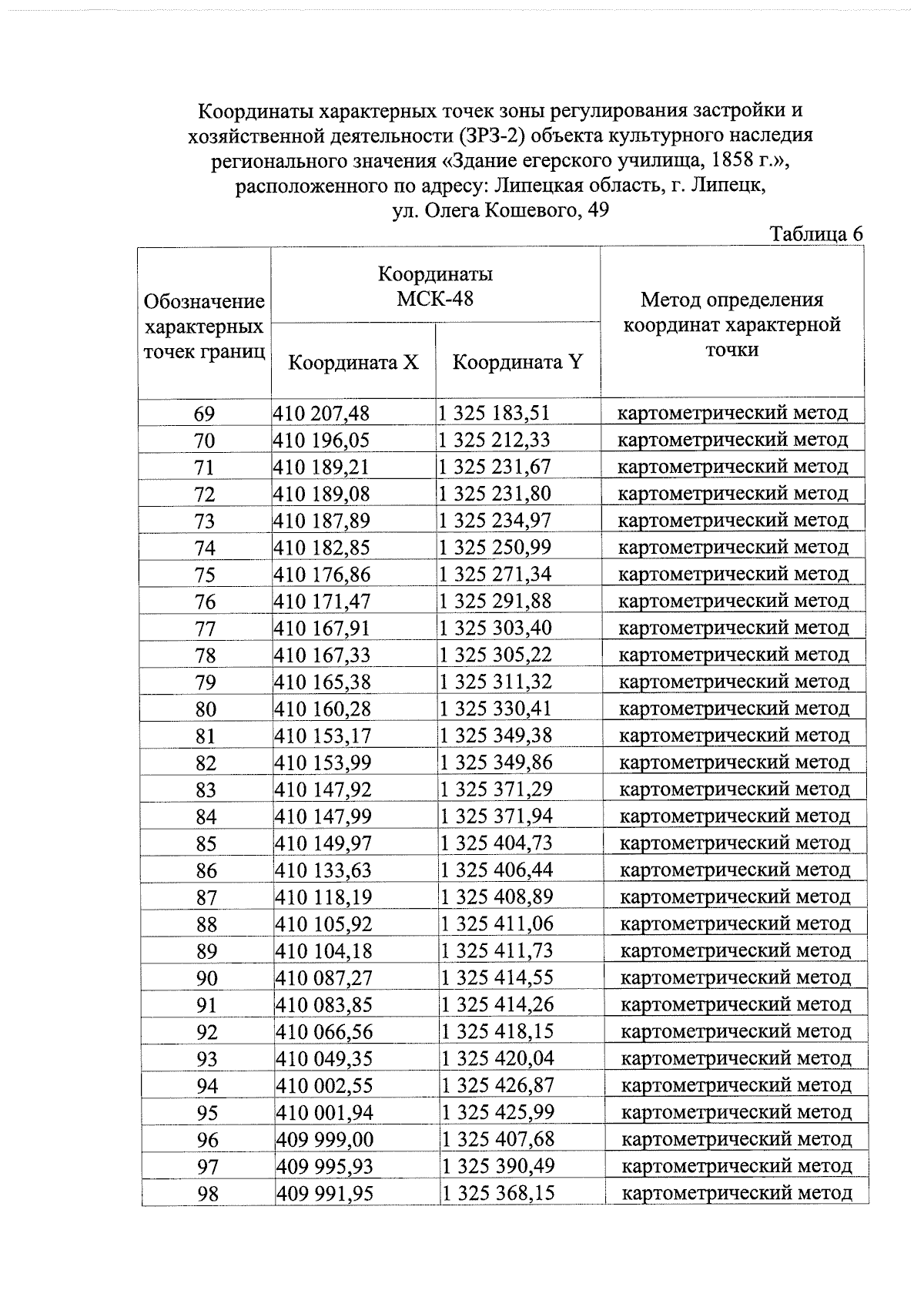
Постановление Правительства Липецкой области от 21.03.2025 № 145
"Об установлении границ зон охраны объекта культурного наследия регионального значения "Здание егерского училища, 1858 г.", расположенного по адресу: Липецкая область, г. Липецк, ул. Олега Кошевого, 49, и утверждении требований к градостроительным регламентам в границах территорий данных зон"
Номер опубликования: 4800202503250010
Дата опубликования: 25.03.2025
Страница №17 из 23:
Увеличить