Постановление Правительства Липецкой области от 21.03.2025 № 146
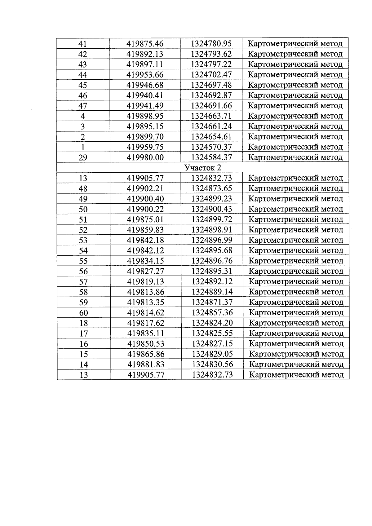
"Об установлении границ зон охраны объекта культурного наследия регионального значения "ДК трубного завода", 1950 г., расположенного по адресу: Липецкая область, г. Липецк, ул. Гагарина, 74, и утверждении требований к градостроительным регламентам в границах территорий данных зон"
"Об установлении границ зон охраны объекта культурного наследия регионального значения "ДК трубного завода", 1950 г., расположенного по адресу: Липецкая область, г. Липецк, ул. Гагарина, 74, и утверждении требований к градостроительным регламентам в границах территорий данных зон"
Номер опубликования: 4800202503250009
Дата опубликования:
25.03.2025
