Официальное опубликование правовых актов
ОФИЦИАЛЬНОЕ ОПУБЛИКОВАНИЕ
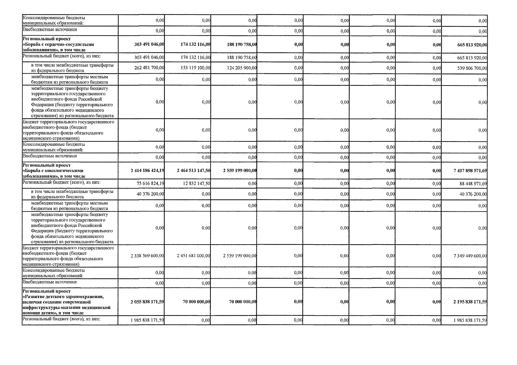
Постановление Правительства Липецкой области от 03.12.2024 № 662
"О внесении изменения в постановление Правительства Липецкой области от 26 декабря 2023 года № 771 "Об утверждении государственной программы Липецкой области "Развитие здравоохранения Липецкой области"
Номер опубликования: 4800202412060015
Дата опубликования: 06.12.2024
Страница №24 из 781:
Увеличить