Официальное опубликование правовых актов
ОФИЦИАЛЬНОЕ ОПУБЛИКОВАНИЕ
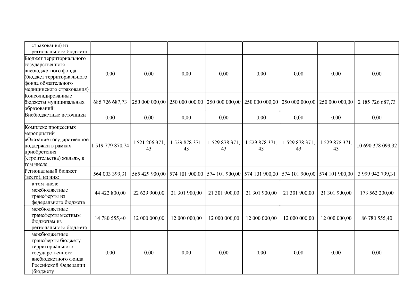
Постановление Правительства Липецкой области от 11.11.2024 № 622
"О внесении изменений в постановление Правительства Липецкой области от 8 декабря 2023 года № 702 "Об утверждении государственной программы Липецкой области "Обеспечение жителей Липецкой области качественным жильем, социальной и инженерной инфраструктурой"
Номер опубликования: 4800202411190002
Дата опубликования: 19.11.2024
Страница №6 из 8:
Увеличить