Официальное опубликование правовых актов
ОФИЦИАЛЬНОЕ ОПУБЛИКОВАНИЕ
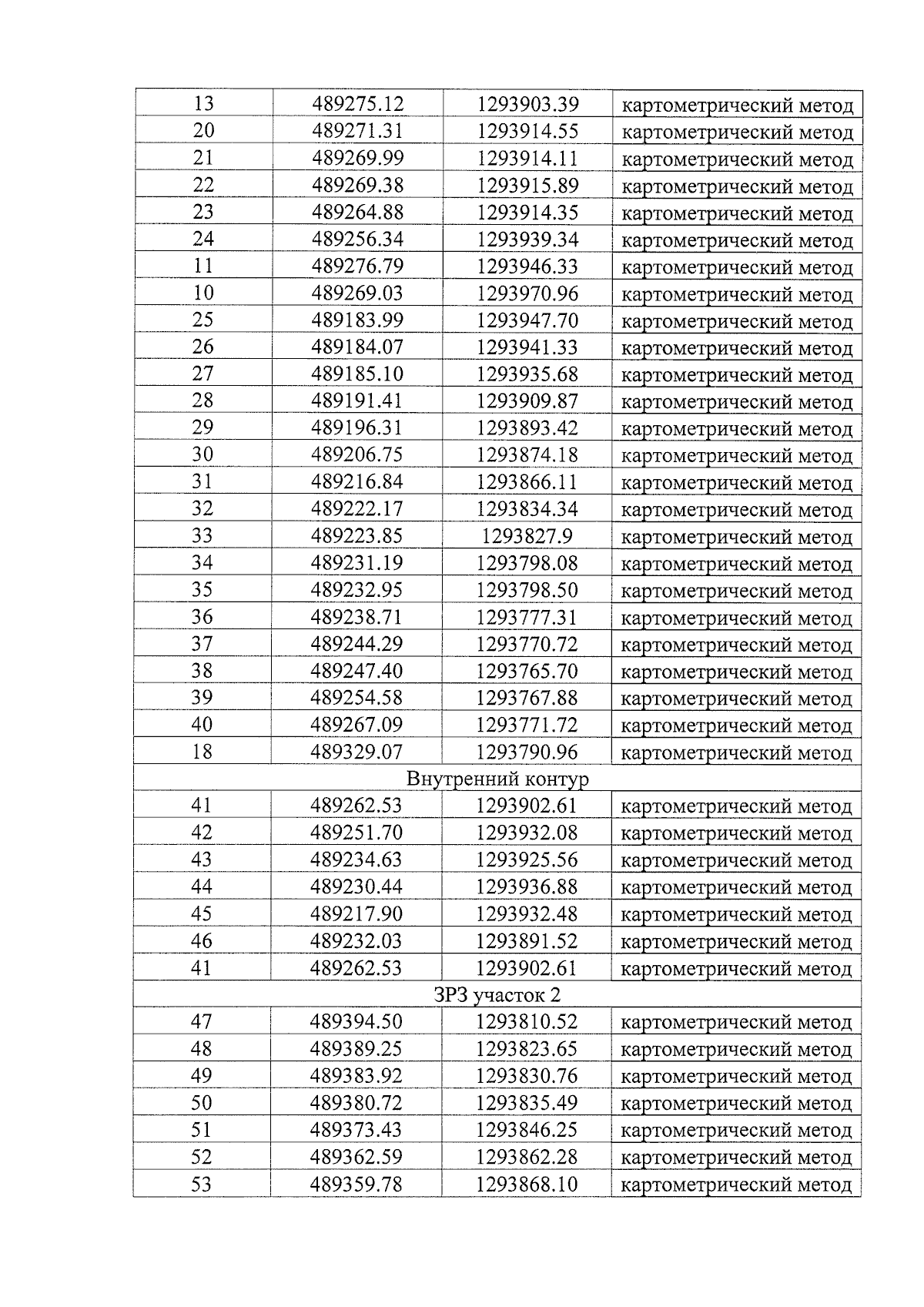
Постановление Правительства Липецкой области от 08.10.2024 № 570
"Об установлении границ зон охраны объекта культурного наследия регионального значения "Купеческий кирпичный 2—х этажный дом", конец Х1Х в., расположенного по адресу: Липецкая область, Данковский район, г. Данков, ул. К. Маркса, 7, и утверждении требований к градостроительным регламентам в границах территорий данных зон"
Номер опубликования: 4800202410100005
Дата опубликования: 10.10.2024
Страница №10 из 15:
Увеличить