Официальное опубликование правовых актов
ОФИЦИАЛЬНОЕ ОПУБЛИКОВАНИЕ
Постановление Правительства Липецкой области от 08.10.2024 № 572
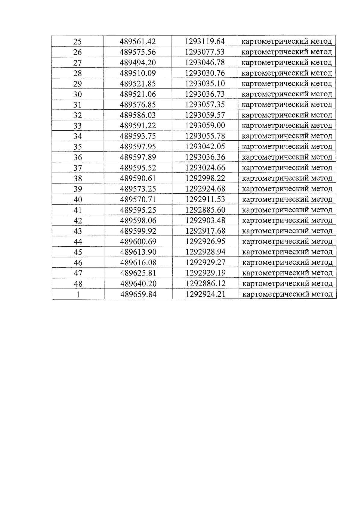
"Об установлении границ зон охраны объекта культурного наследия регионального значения "Церковь Георгиевская", 1858—1866 гг., расположенного по адресу: Липецкая область, Данковский район, г. Данков, ул. Горького, 2, и утверждении требований к градостроительным регламентам в границах территорий данных зон"
Номер опубликования: 4800202410100002
Дата опубликования: 10.10.2024
Страница №7 из 22:
Увеличить