Официальное опубликование правовых актов
ОФИЦИАЛЬНОЕ ОПУБЛИКОВАНИЕ
Постановление Правительства Липецкой области от 21.05.2024 № 300
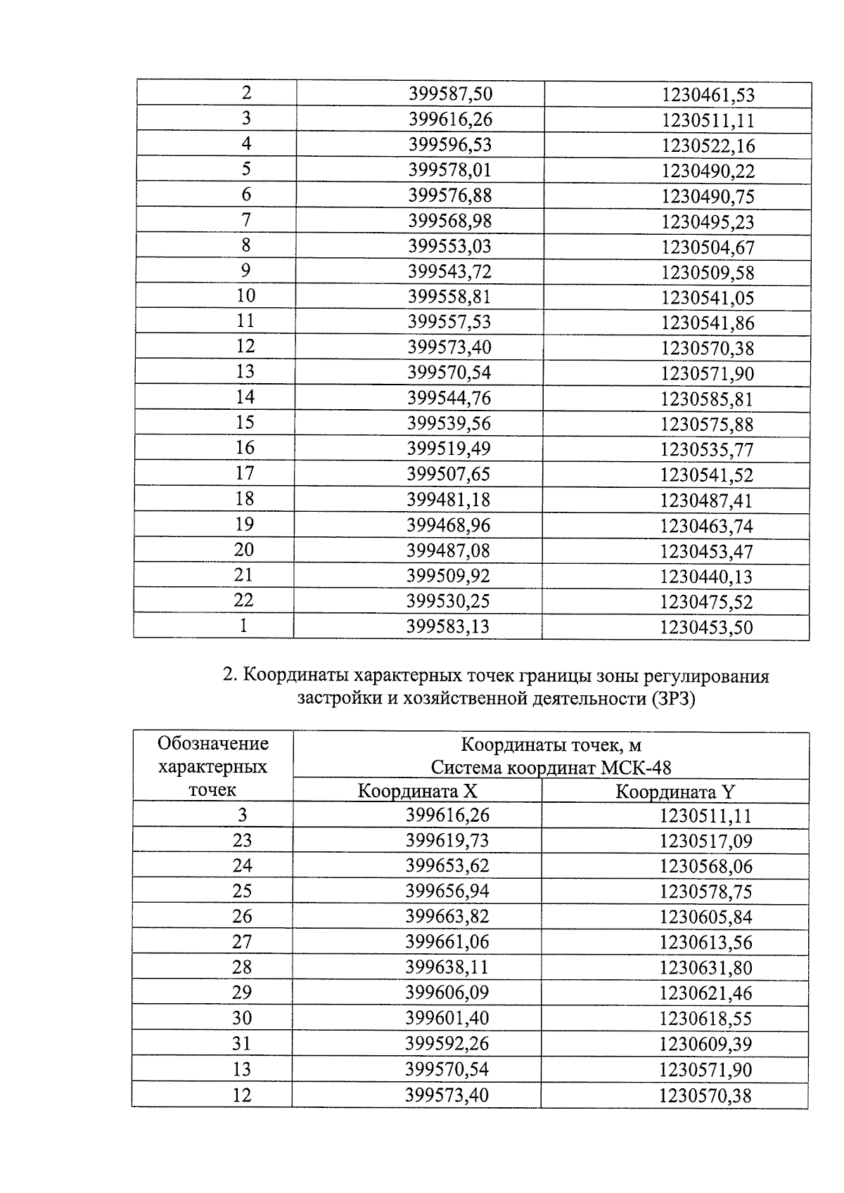
"Об установлении границ зон охраны объекта культурного наследия регионального значения "Казанская церковь", 1870 г., расположенного по адресу: Липецкая область, Долгоруковский район, с. Грызлово, ул. Рягузова, 7, и утверждении требований к градостроительным регламентам в границах территорий данных зон"
Номер опубликования: 4800202405240003
Дата опубликования: 24.05.2024
Страница №6 из 11:
Увеличить