Официальное опубликование правовых актов
ОФИЦИАЛЬНОЕ ОПУБЛИКОВАНИЕ
Постановление Правительства Липецкой области от 23.04.2024 № 259
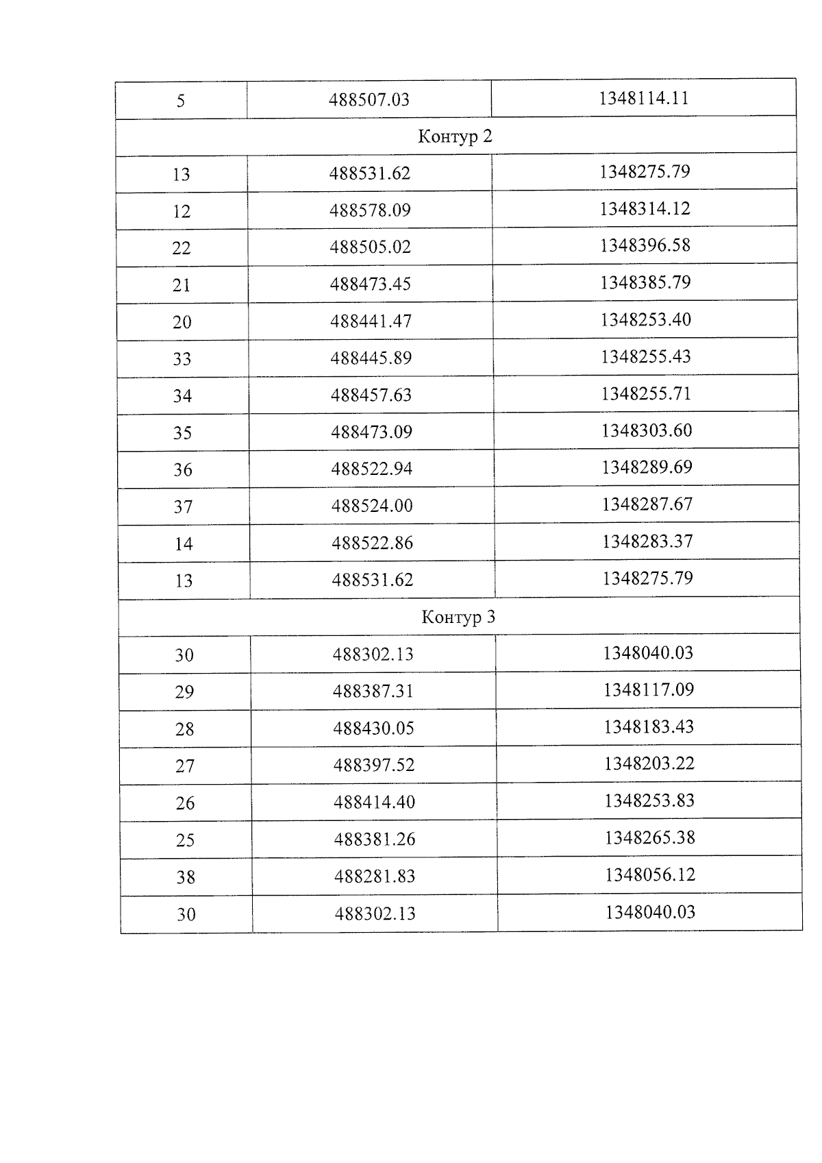
"Об установлении границ зон охраны объекта культурного наследия регионального значения "Церковь Архангельская", 1805 г., расположенного по адресу: Липецкая область, Чаплыгинский район, с. Кривополянье, ул. Мостовка, 66а, и утверждении требований к градостроительным регламентам в границах территорий данных зон"
Номер опубликования: 4800202404290008
Дата опубликования: 29.04.2024
Страница №8 из 12:
Увеличить