Официальное опубликование правовых актов
ОФИЦИАЛЬНОЕ ОПУБЛИКОВАНИЕ
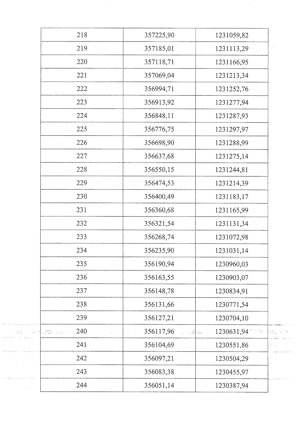
Закон Липецкой области от 29.11.2023 № 419-ОЗ
"О внесении изменений в Закон Липецкой области "Об установлении границ муниципальных образований Липецкой области"
Номер опубликования: 4800202311300013
Дата опубликования: 30.11.2023
Страница №2011 из 2161:
Увеличить