Официальное опубликование правовых актов
ОФИЦИАЛЬНОЕ ОПУБЛИКОВАНИЕ
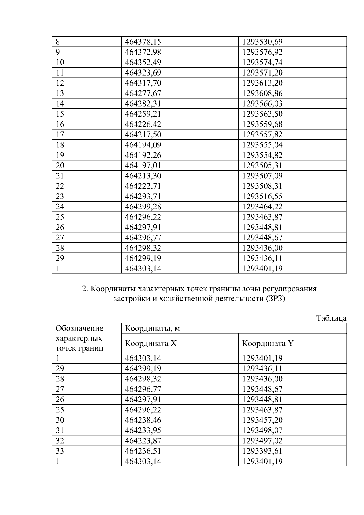
Постановление Правительства Липецкой области от 09.11.2023 № 602
"Об установлении границ зон охраны объекта культурного наследия регионального значения "Дом 2-х этажный" XIX в., расположенного по адресу: Липецкая область, г. Лебедянь, ул. Советская, 91, и утверждении требований к градостроительным регламентам в границах территорий данных зон"
Номер опубликования: 4800202311140014
Дата опубликования: 14.11.2023
Страница №6 из 11:
Увеличить