Официальное опубликование правовых актов
ОФИЦИАЛЬНОЕ ОПУБЛИКОВАНИЕ
Постановление Правительства Липецкой области от 07.11.2023 № 594
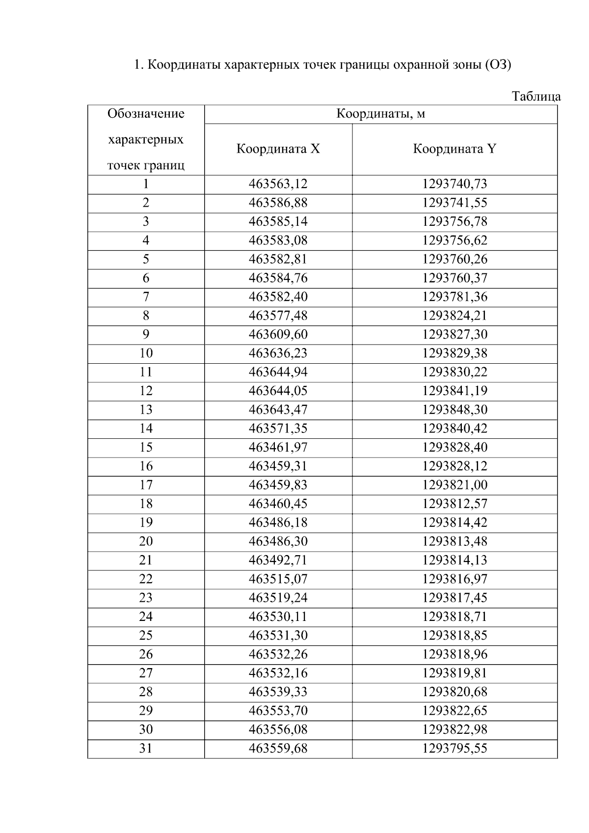
"Об установлении границ зон охраны объекта культурного наследия регионального значения "Усадебный дом" XIX в., расположенного по адресу: Липецкая область, г. Лебедянь, ул. Ленина, 18, и утверждении требований к градостроительным регламентам в границах территорий данных зон"
Номер опубликования: 4800202311130001
Дата опубликования: 13.11.2023
Страница №7 из 13:
Увеличить