Официальное опубликование правовых актов
ОФИЦИАЛЬНОЕ ОПУБЛИКОВАНИЕ
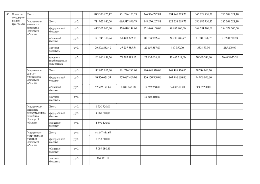
Постановление администрации Липецкой области от 10.02.2022 № 59
"О внесении изменений в постановление администрации Липецкой области от 26 ноября 2019 года № 498 "Об утверждении государственной программы Липецкой области "Комплексное развитие сельских территорий Липецкой области"
Номер опубликования: 4800202202110002
Дата опубликования: 11.02.2022
Страница №35 из 39:
Увеличить