Официальное опубликование правовых актов
ОФИЦИАЛЬНОЕ ОПУБЛИКОВАНИЕ
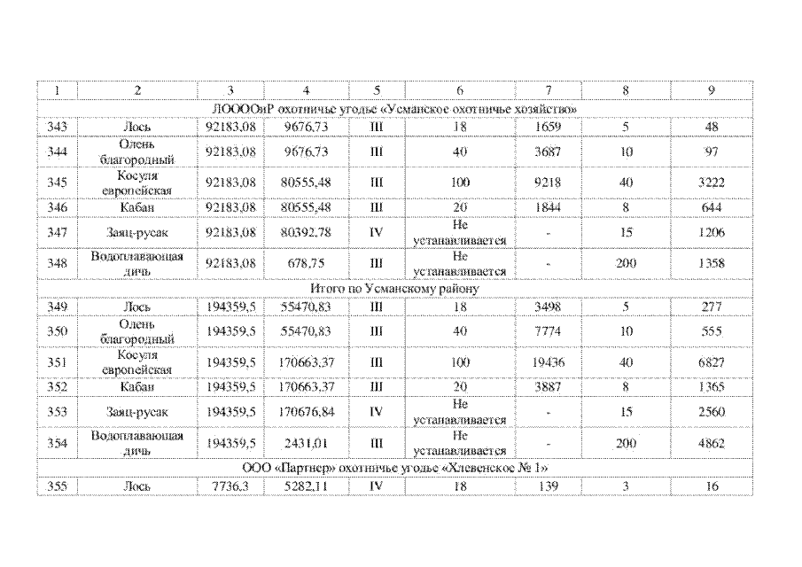
Постановление администрации Липецкой области от 27.12.2021 № 606
"О внесении изменения в постановление администрации Липецкой области от 18 января 2016 года № 5 "Об утверждении схемы размещения, использования и охраны охотничьих угодий на территории Липецкой области"
Номер опубликования: 4800202202110001
Дата опубликования: 11.02.2022
Страница №324 из 4154:
Увеличить