Официальное опубликование правовых актов
ОФИЦИАЛЬНОЕ ОПУБЛИКОВАНИЕ
Постановление администрации Липецкой области от 28.01.2022 № 36
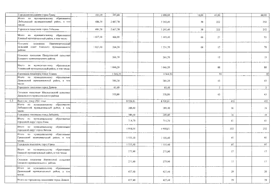
"О внесении изменения в постановление администрации Липецкой области от 25 марта 2019 года № 159 "Об утверждении областной адресной программы "Переселение граждан из аварийного жилищного фонда, расположенного на территории Липецкой области, на 2019 – 2023 годы"
Номер опубликования: 4800202202010001
Дата опубликования: 01.02.2022
Страница №39 из 41:
Увеличить