Официальное опубликование правовых актов
ОФИЦИАЛЬНОЕ ОПУБЛИКОВАНИЕ
Постановление администрации Липецкой области от 22.12.2021 № 586
"О внесении изменений в постановление администрации Липецкой области от 18 декабря 2013 года № 598 "Об утверждении государственной программы Липецкой области "Социальная поддержка граждан, реализация семейно-демографической политики Липецкой области"
Номер опубликования: 4800202112240011
Дата опубликования: 24.12.2021
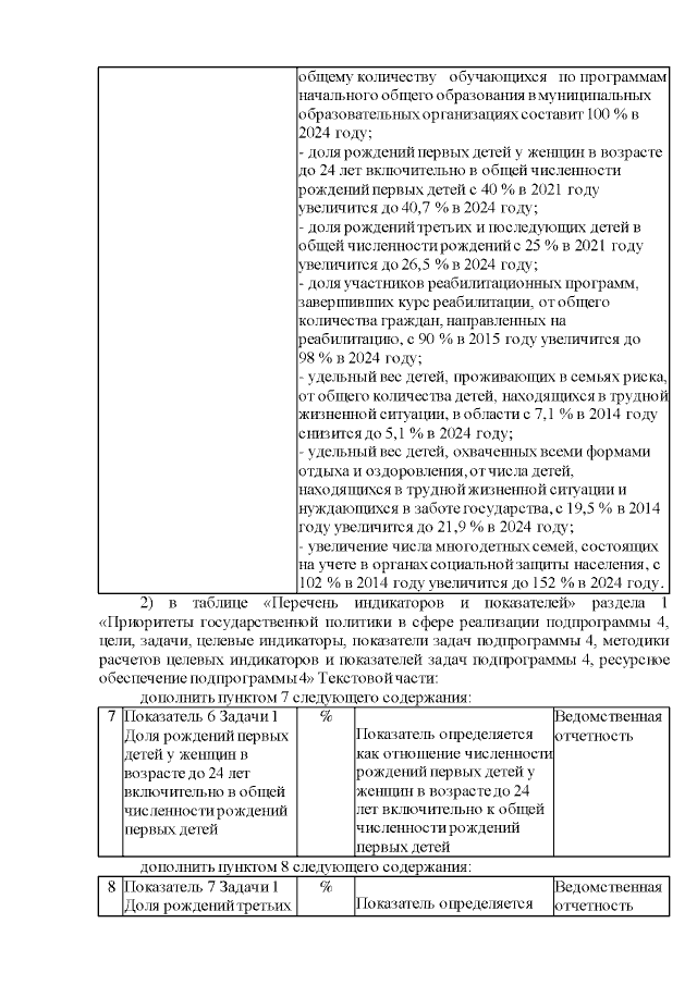
Страница №11 из 107:
Увеличить