Официальное опубликование правовых актов
ОФИЦИАЛЬНОЕ ОПУБЛИКОВАНИЕ
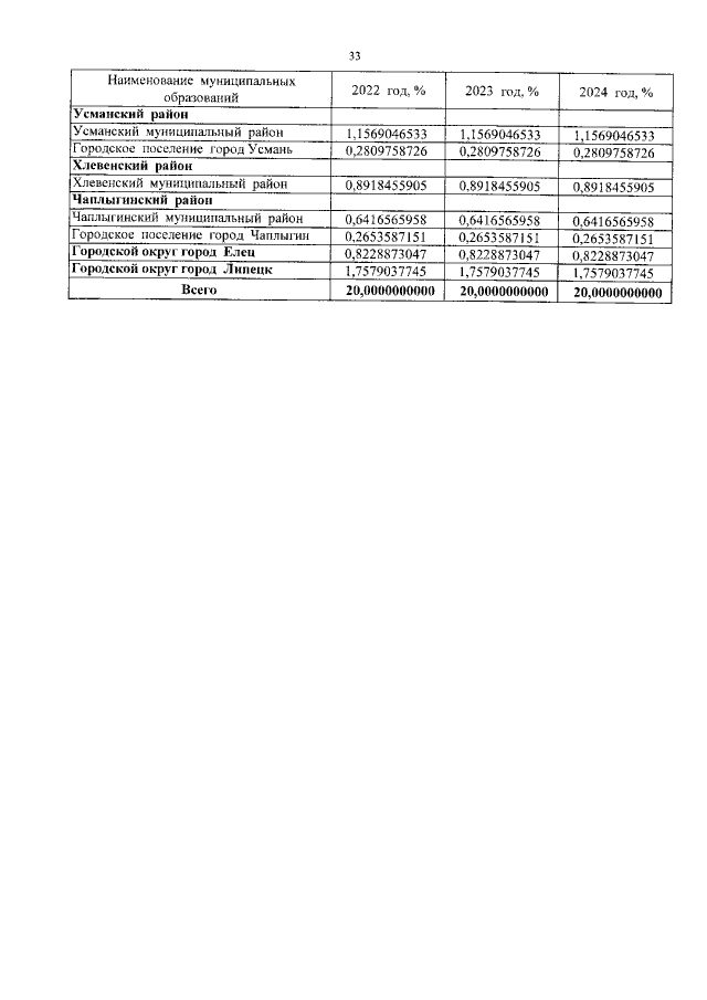
Закон Липецкой области от 13.12.2021 № 28-ОЗ
"Об областном бюджете на 2022 год и на плановый период 2023 и 2024 годов"
Номер опубликования: 4800202112150020
Дата опубликования: 15.12.2021
Страница №33 из 1241:
Увеличить