Официальное опубликование правовых актов
ОФИЦИАЛЬНОЕ ОПУБЛИКОВАНИЕ
Постановление Липецкого областного Совета депутатов от 09.12.2021 № 120-пс
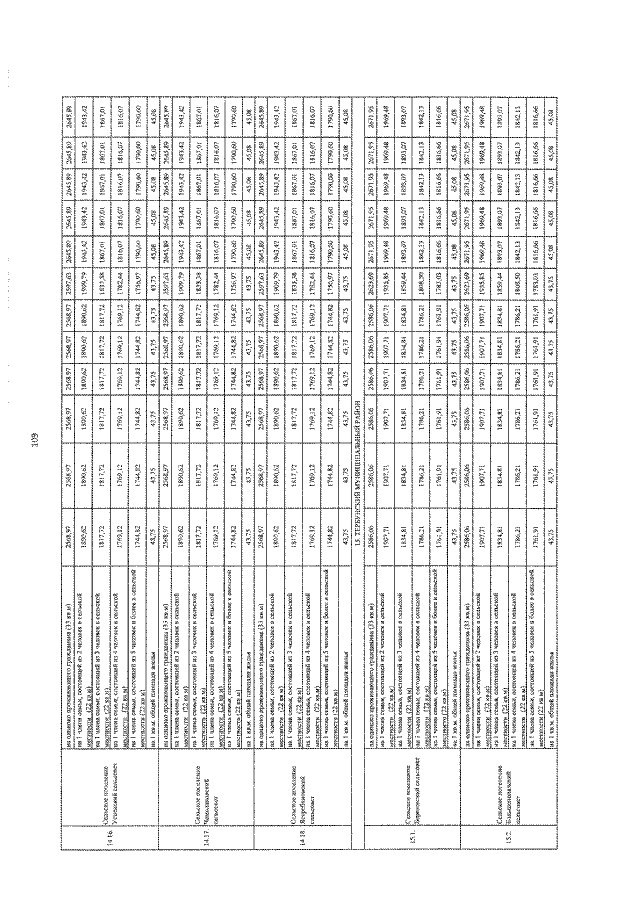
"О внесении изменений в постановление Липецкого областного Совета депутатов "Об установлении размеров региональных стандартов стоимости жилищно-коммунальных услуг в Липецкой области на 2021 год"
Номер опубликования: 4800202112140003
Дата опубликования: 14.12.2021
Страница №109 из 225:
Увеличить