Официальное опубликование правовых актов
ОФИЦИАЛЬНОЕ ОПУБЛИКОВАНИЕ
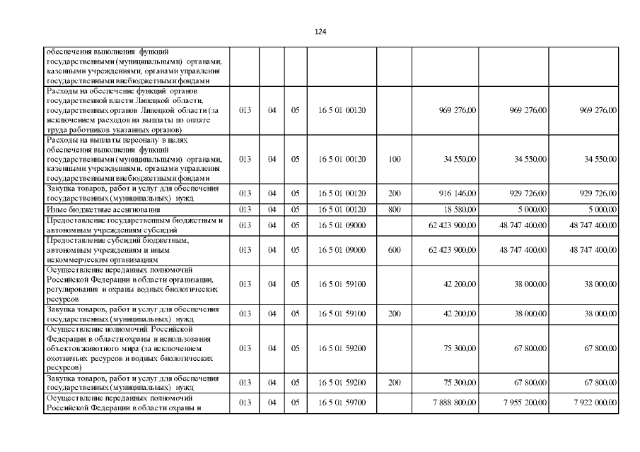
Закон Липецкой области от 30.08.2021 № 570-ОЗ
"О внесении изменений в Закон Липецкой области "Об областном бюджете на 2021 год и на плановый период 2022 и 2023 годов"
Номер опубликования: 4800202108310002
Дата опубликования: 31.08.2021
Страница №124 из 790:
Увеличить