Официальное опубликование правовых актов
ОФИЦИАЛЬНОЕ ОПУБЛИКОВАНИЕ
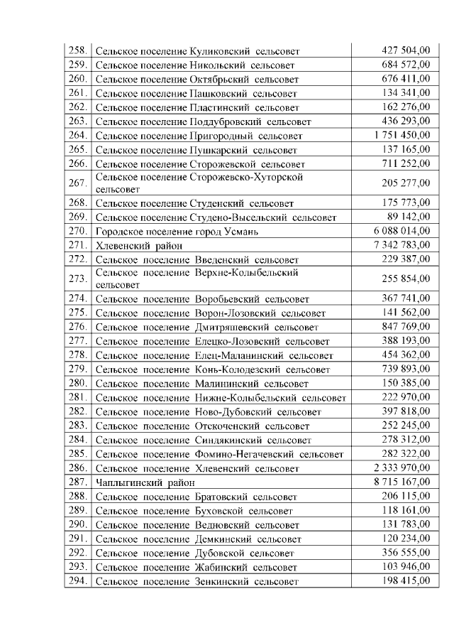
Постановление администрации Липецкой области от 09.08.2021 № 310
"О распределении дотаций местным бюджетам на поддержку мер по обеспечению сбалансированности местных бюджетов из областного бюджета в 2021 году"
Номер опубликования: 4800202108100001
Дата опубликования: 10.08.2021
Страница №9 из 10:
Увеличить