Официальное опубликование правовых актов
ОФИЦИАЛЬНОЕ ОПУБЛИКОВАНИЕ
Постановление администрации Липецкой области от 15.12.2020 № 675
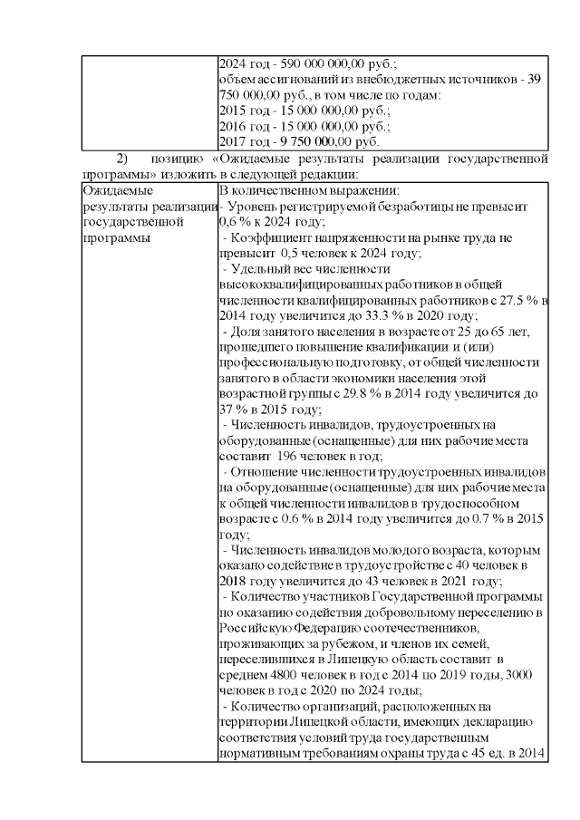
"О внесении изменений в постановление администрации Липецкой области от 16 октября 2013 года № 465 "Об утверждении государственной программы Липецкой области "Развитие рынка труда и содействие занятости населения в Липецкой области"
Номер опубликования: 4800202012170006
Дата опубликования: 17.12.2020
Страница №3 из 105:
Увеличить