Официальное опубликование правовых актов
ОФИЦИАЛЬНОЕ ОПУБЛИКОВАНИЕ
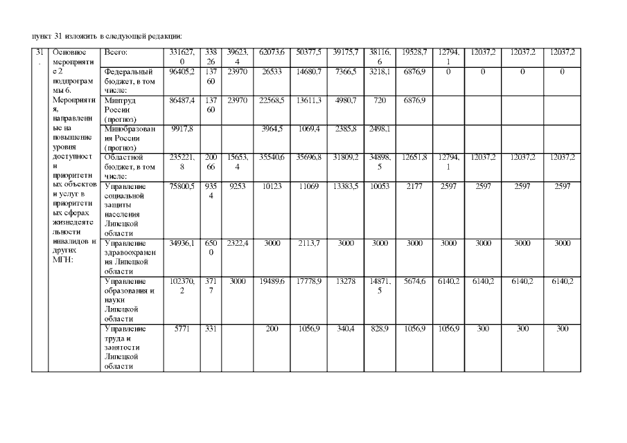
Постановление администрации Липецкой области от 28.08.2020 № 496
"О внесении изменений в постановление администрации Липецкой области от 18 декабря 2013 года № 598 "Об утверждении государственной программы Липецкой области "Социальная поддержка граждан, реализация семейно-демографической политики Липецкой области"
Номер опубликования: 4800202009010003
Дата опубликования: 01.09.2020
Страница №41 из 64:
Увеличить