Официальное опубликование правовых актов
ОФИЦИАЛЬНОЕ ОПУБЛИКОВАНИЕ
Постановление администрации Липецкой области от 13.08.2020 № 465
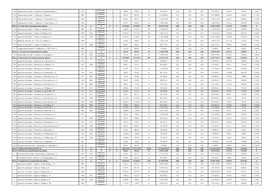
"О внесении изменения в постановление администрации Липецкой области от 28 февраля 2020 года № 91 "Об утверждении краткосрочного плана реализации областной программы капитального ремонта общего имущества в многоквартирных домах на 2020 — 2022 годы"
Номер опубликования: 4800202008190001
Дата опубликования: 19.08.2020
Страница №14 из 69:
Увеличить