Официальное опубликование правовых актов
ОФИЦИАЛЬНОЕ ОПУБЛИКОВАНИЕ
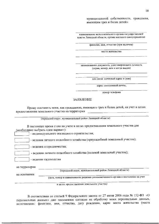
Закон Липецкой области от 13.05.2020 № 370-ОЗ
"О внесении изменений в Закон Липецкой области "О бесплатном предоставлении земельных участков, находящихся в государственной или муниципальной собственности, гражданам, имеющим трех и более детей"
Номер опубликования: 4800202005140002
Дата опубликования: 14.05.2020
Страница №18 из 20:
Увеличить