Официальное опубликование правовых актов
ОФИЦИАЛЬНОЕ ОПУБЛИКОВАНИЕ
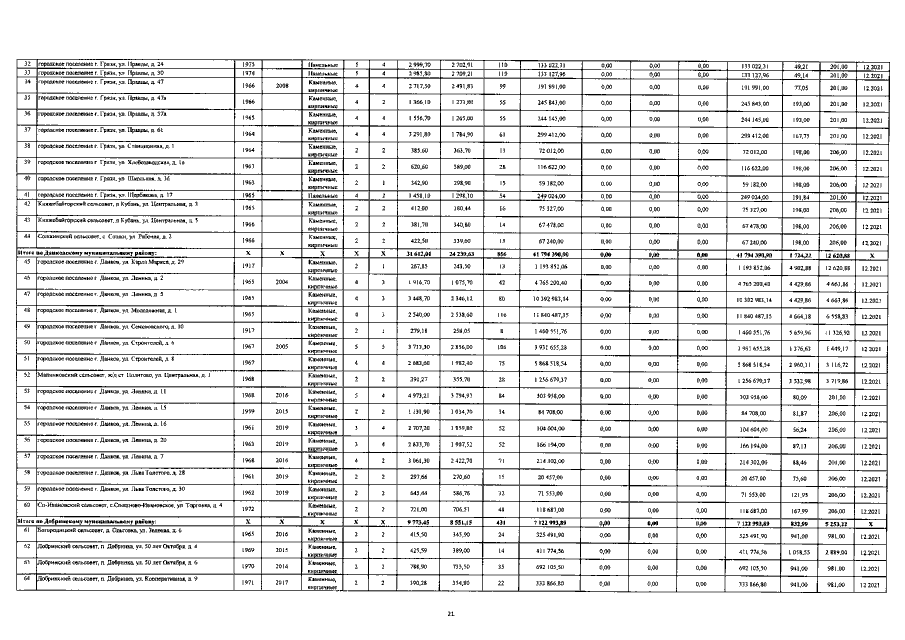
Постановление администрации Липецкой области от 28.02.2020 № 91
"Об утверждении краткосрочного плана реализации областной программы капитального ремонта общего имущества в многоквартирных домах на 2020-2022 годы"
Номер опубликования: 4800202003030011
Дата опубликования: 03.03.2020
Страница №21 из 92:
Увеличить