Постановление Липецкого областного Совета депутатов от 23.12.2019 № 1065-пс
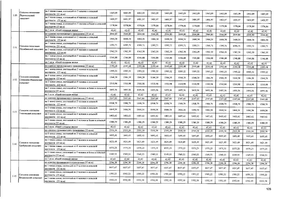
"Об установлении размеров региональных стандартов стоимости жилищно-коммунальных услуг в Липецкой области на 2020 год"
"Об установлении размеров региональных стандартов стоимости жилищно-коммунальных услуг в Липецкой области на 2020 год"
Номер опубликования: 4800201912270013
Дата опубликования:
27.12.2019
