Официальное опубликование правовых актов
ОФИЦИАЛЬНОЕ ОПУБЛИКОВАНИЕ
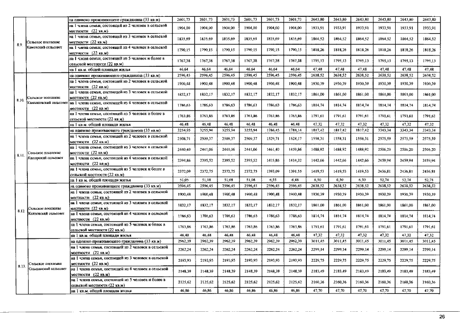
Постановление Липецкого областного Совета депутатов от 12.12.2019 № 1029-пс
"О внесении изменений в постановление Липецкого областного Совета депутатов "Об установлении размеров региональных стандартов стоимости жилищно-коммунальных услуг в Липецкой области на 2019 год"
Номер опубликования: 4800201912190003
Дата опубликования: 19.12.2019
Страница №26 из 173:
Увеличить