Официальное опубликование правовых актов
ОФИЦИАЛЬНОЕ ОПУБЛИКОВАНИЕ
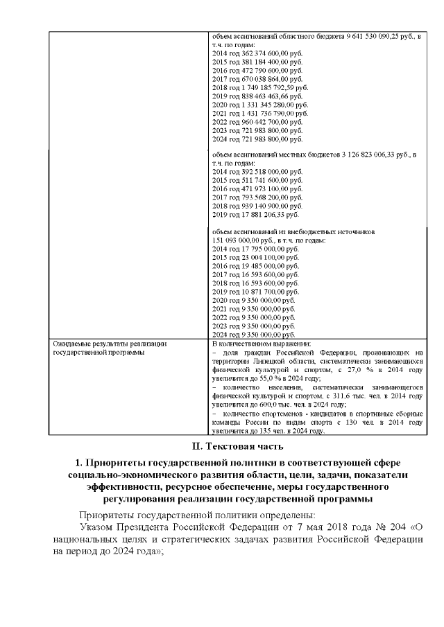
Постановление администрации Липецкой области от 24.10.2019 № 455
"О внесении изменений в постановление администрации Липецкой области от 6 сентября 2013 года № 405 "Об утверждении государственной программы Липецкой области "Развитие физической культуры и спорта Липецкой области"
Номер опубликования: 4800201910250001
Дата опубликования: 25.10.2019
Страница №3 из 93:
Увеличить