Официальное опубликование правовых актов
ОФИЦИАЛЬНОЕ ОПУБЛИКОВАНИЕ
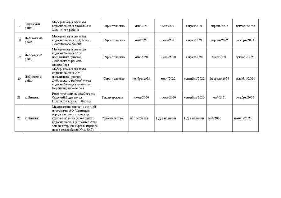
Постановление администрации Липецкой области от 31.07.2019 № 348
"О внесении изменений в постановление администрации Липецкой области от 13 декабря 2013 года № 588 "Об утверждении государственной программы Липецкой области "Обеспечение населения Липецкой области качественным жильем, социальной инфраструктурой и услугами ЖКХ"
Номер опубликования: 4800201908080001
Дата опубликования: 08.08.2019
Страница №42 из 53:
Увеличить