Официальное опубликование правовых актов
ОФИЦИАЛЬНОЕ ОПУБЛИКОВАНИЕ
Постановление администрации Липецкой области от 30.07.2019 № 342
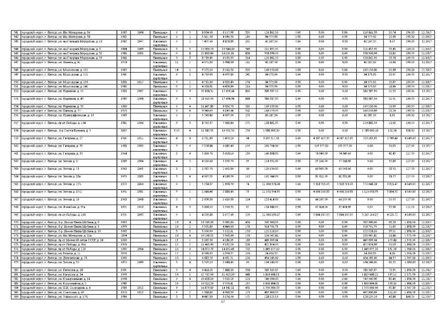
"О внесении изменения в постановление администрации Липецкой области от 21 сентября 2016 года № 409 "Об утверждении краткосрочного плана реализации областной программы капитального ремонта общего имущества в многоквартирных домах на 2017-2019 годы"
Номер опубликования: 4800201908060023
Дата опубликования: 06.08.2019
Страница №17 из 85:
Увеличить