Официальное опубликование правовых актов
ОФИЦИАЛЬНОЕ ОПУБЛИКОВАНИЕ
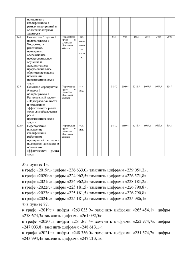
Постановление администрации Липецкой области от 06.02.2019 № 49
"О внесении изменений в постановление администрации Липецкой области от 16 октября 2013 года № 465 "Об утверждении государственной программы Липецкой области "Развитие рынка труда и содействие занятости населения в Липецкой области"
Номер опубликования: 4800201902130005
Дата опубликования: 13.02.2019
Страница №7 из 9:
Увеличить