Официальное опубликование правовых актов
ОФИЦИАЛЬНОЕ ОПУБЛИКОВАНИЕ
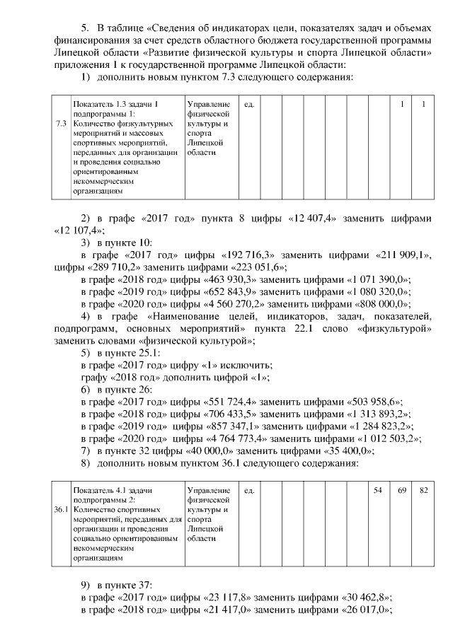
Постановление администрации Липецкой области от 27.10.2017 № 474
"О внесении изменений в постановление администрации Липецкой области от 06 сентября 2013 года № 405 "Об утверждении государственной программы Липецкой области "Развитие физической культуры и спорта Липецкой области"
Номер опубликования: 4800201711020025
Дата опубликования: 02.11.2017
Страница №5 из 7:
Увеличить