Официальное опубликование правовых актов
ОФИЦИАЛЬНОЕ ОПУБЛИКОВАНИЕ
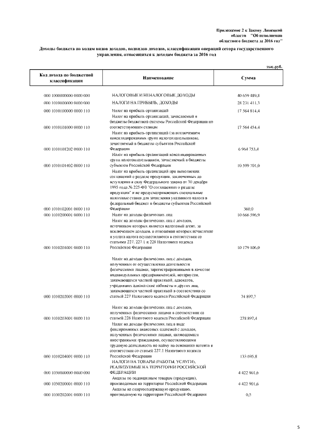
Закон Липецкой области от 13.06.2017 № 69-ОЗ
"Об исполнении областного бюджета за 2016 год"
Номер опубликования: 4800201706190001
Дата опубликования: 19.06.2017
Страница №5 из 208:
Увеличить