Официальное опубликование правовых актов
ОФИЦИАЛЬНОЕ ОПУБЛИКОВАНИЕ
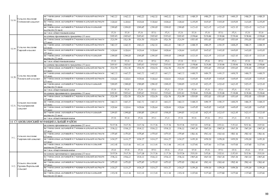
Постановление Липецкого областного Совета депутатов от 23.03.2017 № 188-пс
"Об установлении размеров региональных стандартов стоимости жилищно-коммунальных услуг в Липецкой области на 2017 год"
Номер опубликования: 4800201703270002
Дата опубликования: 27.03.2017
Страница №99 из 169:
Увеличить