Постановление Липецкого областного Совета депутатов от 23.03.2017 № 188-пс
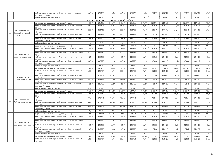
"Об установлении размеров региональных стандартов стоимости жилищно-коммунальных услуг в Липецкой области на 2017 год"
"Об установлении размеров региональных стандартов стоимости жилищно-коммунальных услуг в Липецкой области на 2017 год"
Номер опубликования: 4800201703270002
Дата опубликования:
27.03.2017
