Официальное опубликование правовых актов
ОФИЦИАЛЬНОЕ ОПУБЛИКОВАНИЕ
Постановление администрации Липецкой области от 09.01.2017 № 2
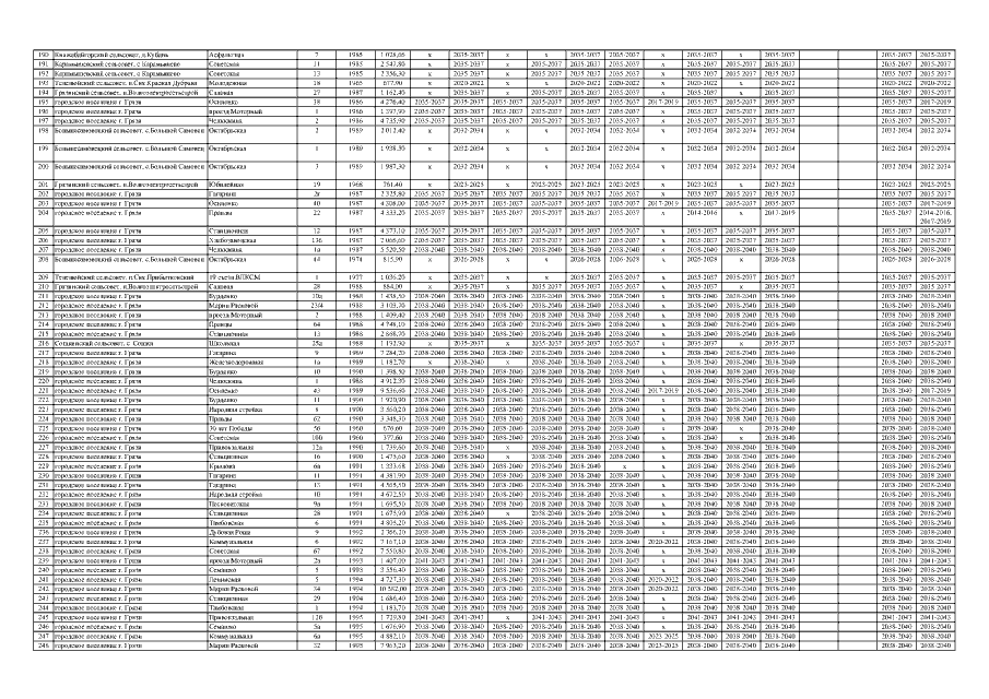
"О внесении изменений в постановление администрации Липецкой области от 28 ноября 2013 года № 528 "Об утверждении областной программы капитального ремонта общего имущества в многоквартирных домах, расположенных на территории Липецкой области, на 2014 - 2043 годы"
Номер опубликования: 4800201701120001
Дата опубликования: 12.01.2017
Страница №6 из 92:
Увеличить