Официальное опубликование правовых актов
ОФИЦИАЛЬНОЕ ОПУБЛИКОВАНИЕ
Постановление администрации Липецкой области от 28.12.2016 № 537
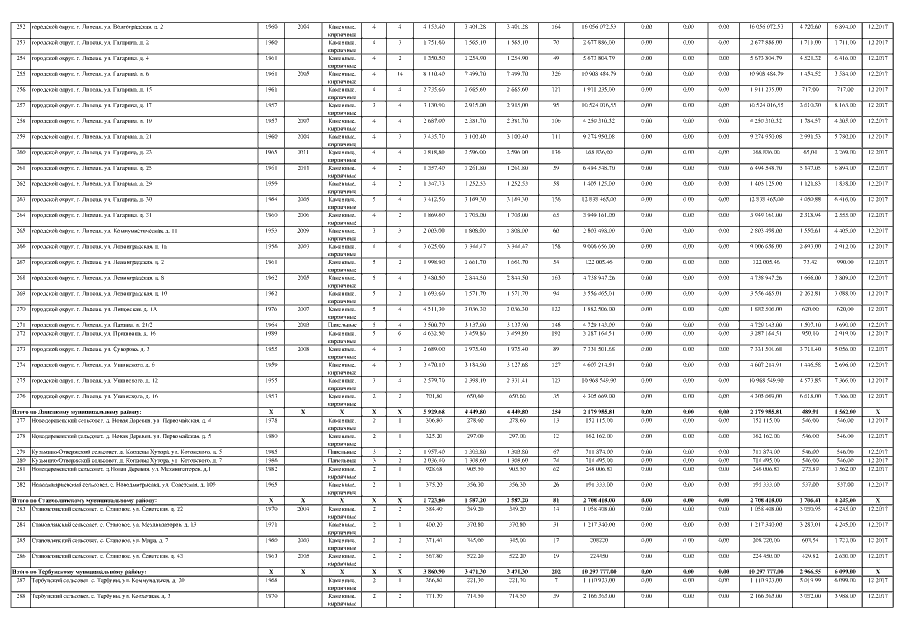
"О внесении изменений в постановление администрации Липецкой области от 21 сентября 2016 года № 409 "Об утверждении краткосрочного плана реализации областной программы капитального ремонта общего имущества в многоквартирных домах на 2017 год"
Номер опубликования: 4800201612300016
Дата опубликования: 30.12.2016
Страница №9 из 37:
Увеличить