Официальное опубликование правовых актов
ОФИЦИАЛЬНОЕ ОПУБЛИКОВАНИЕ
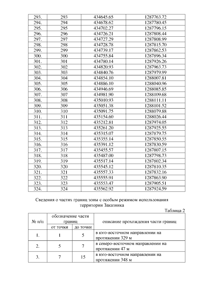
Постановление администрации Липецкой области от 22.12.2016 № 516
"Об утверждении площади и границ государственных природных ландшафтных заказников "Липецкий", "Задонский"
Номер опубликования: 4800201612230023
Дата опубликования: 23.12.2016
Страница №9 из 31:
Увеличить