Официальное опубликование правовых актов
ОФИЦИАЛЬНОЕ ОПУБЛИКОВАНИЕ
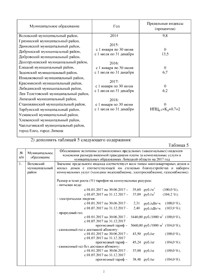
Постановление главы администрации Липецкой области от 28.11.2016 № 478
"О внесении изменений в постановление главы администрации Липецкой области от 8 мая 2014 года № 214 "Об утверждении на период с 1 июля 2014 года по 2018 год предельных (максимальных) индексов изменения размера вносимой гражданами платы за коммунальные услуги в муниципальных образованиях Липецкой области"
Номер опубликования: 4800201611300003
Дата опубликования: 30.11.2016
Страница №2 из 30:
Увеличить