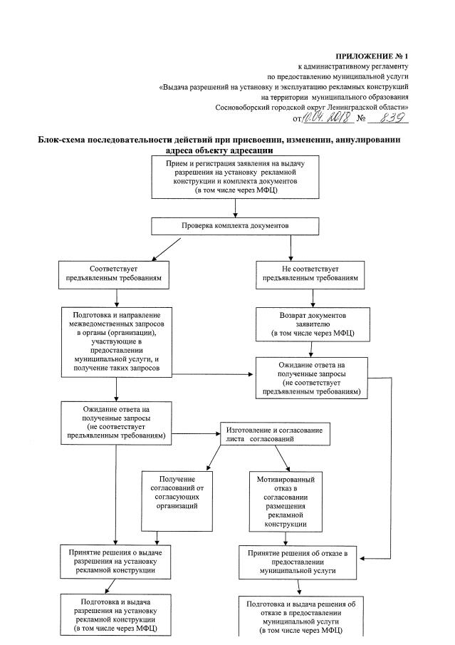
Постановление Администрации муниципального образования Сосновоборский городской округ Ленинградской области от 10.04.2018 № 839
"Об утверждении административного регламента предоставления муниципальной услуги "Выдача разрешений на установку и эксплуатацию рекламных конструкций на территории муниципального образования Сосновоборский городской округ Ленинградской области" (тестовое опубликование)
"Об утверждении административного регламента предоставления муниципальной услуги "Выдача разрешений на установку и эксплуатацию рекламных конструкций на территории муниципального образования Сосновоборский городской округ Ленинградской области" (тестовое опубликование)
Номер опубликования: 4702201804180082
Дата опубликования:
18.04.2018
