Официальное опубликование правовых актов
ОФИЦИАЛЬНОЕ ОПУБЛИКОВАНИЕ
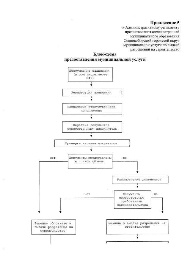
Постановление Администрации муниципального образования Сосновоборский городской округ Ленинградской области от 19.03.2018 № 640
"Об утверждении административного регламента администрации Сосновоборского городского округа по предоставлению муниципальной услуги "Подготовка и выдача разрешений на строительство и реконструкцию объектов капитального строительства" (тестовое опубликование)
Номер опубликования: 4702201804030021
Дата опубликования: 03.04.2018
Страница №42 из 52:
Увеличить