Официальное опубликование правовых актов
ОФИЦИАЛЬНОЕ ОПУБЛИКОВАНИЕ
Постановление Администрации муниципального образования Кингисеппский муниципальный район Ленинградской области от 28.12.2017 № 3430
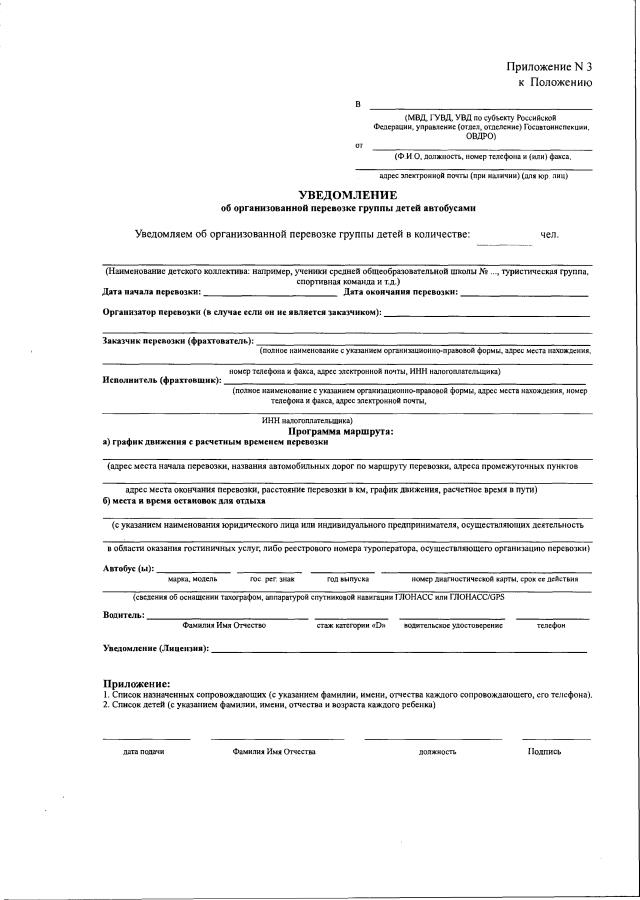
"Об утверждении Положения об организованных перевозках групп детей автобусами муниципального казенного учреждения Административно-хозяйственный комплекс" муниципального образования "Кингисеппский муниципальный район" Ленинградской области" (тестовое опубликование)
Номер опубликования: 4702201802090005
Дата опубликования: 09.02.2018
Страница №13 из 23:
Увеличить