Официальное опубликование правовых актов
ОФИЦИАЛЬНОЕ ОПУБЛИКОВАНИЕ
Постановление Администрации муниципального образования Волховский муниципальный район Ленинградской области от 07.12.2017 № 3870
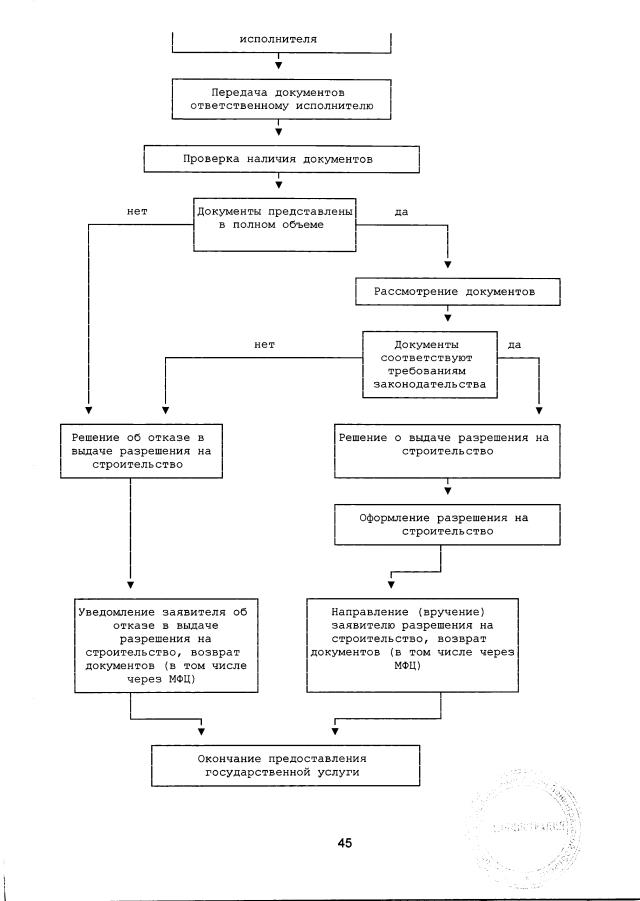
"О внесении изменений в постановление администрации Волховского муниципального района Ленинградской области от 29 декабря 2014 года № 4231 "Об утверждении Административного регламента по предоставлению муниципальной услуги "Выдача разрешений на строительство" (тестовое опубликование)
Номер опубликования: 4702201801110017
Дата опубликования: 11.01.2018
Страница №46 из 52:
Увеличить