Решение Совета депутатов муниципального образования «Агалатовское сельское поселение» Всеволожского муниципального района Ленинградской области от 13.10.2017 № 44
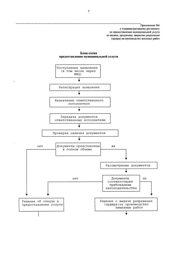
"Об утверждении административного регламента по предоставлению муниципальной услуги "Выдача, продление, закрытие разрешения (ордера) на производство земляных работ" (тестовое опубликование)
"Об утверждении административного регламента по предоставлению муниципальной услуги "Выдача, продление, закрытие разрешения (ордера) на производство земляных работ" (тестовое опубликование)
Номер опубликования: 4702201711150010
Дата опубликования:
15.11.2017
