Официальное опубликование правовых актов
ОФИЦИАЛЬНОЕ ОПУБЛИКОВАНИЕ
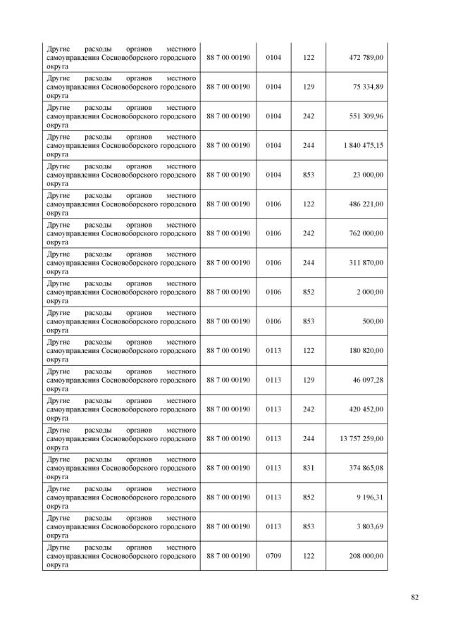
Решение Совета депутатов муниципального образования Сосновоборский городской округ Ленинградской области от 29.09.2017 № 143
"О внесении изменений в решение Совета депутатов от 28.11.2016г. № 171 "О бюджете Сосновоборского городского округа на 2017 годи на плановый период 2018 и 2019 годов" (тестовое опубликование)
Номер опубликования: 4702201711070004
Дата опубликования: 07.11.2017
Страница №82 из 302:
Увеличить