Официальное опубликование правовых актов
ОФИЦИАЛЬНОЕ ОПУБЛИКОВАНИЕ
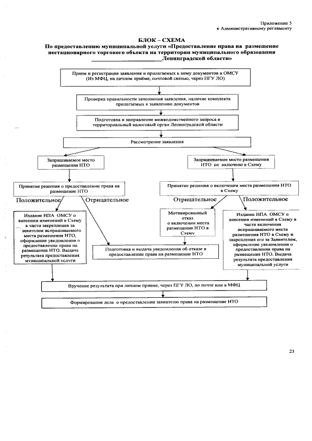
Постановление Администрации муниципального образования «Агалатовское сельское поселение» Всеволожского муниципального района Ленинградской области от 04.09.2017 № 528
"Об утверждении административного регламента по предоставлению муниципальной услуги "Предоставление права на размещение нестационарного торгового объекта на территории муниципального образования "Агалатовское сельское поселение" Всеволожского муниципального района Ленинградской области" (тестовое опубликование)
Номер опубликования: 4702201709210014
Дата опубликования: 21.09.2017
Страница №23 из 24:
Увеличить